电池封装压合,作为锂离子电池制造中的关键步骤,对电池性能、安全及寿命产生直接影响。通过智能控制,这一过程得以精准高效地完成,确保电池内部组件的紧密结合与稳定连接。在新能源汽车及储能行业迅猛发展的今天,电池封装压合技术正面临更高精度、效率及稳定性的挑战,而智能化的解决方案显得尤为重要。

智能驱动技术在实际应用中展现出广泛的可能性。在电池封装压合领域,这一技术能够通过精准控制实现高效、稳定的电池组装,从而提升锂电池的整体性能。此外,智能驱动还可应用于新能源汽车及储能行业的多个环节,推动行业向更高精度、效率及稳定性迈进。

【 解决方案的实施 】
在力矩控制模式下,电机压合到位后会出现抖动现象,并伴随过流报警。经过深入分析,抖动和过流的原因被确定为电机到位时的速度过快,导致其受到较大的反向力作用。为了解决这一问题,我们采取了限制转矩控制速度限值的措施。这一调整不仅有效消除了抖动和过流问题,还使得电机运行更加平稳,从而显著提高了压合的精度和稳定性。
通过实施上述解决方案,该设备在一体化步进伺服电机的驱动下,不仅提升了封装效率,还确保了产品质量的显著提高。
02
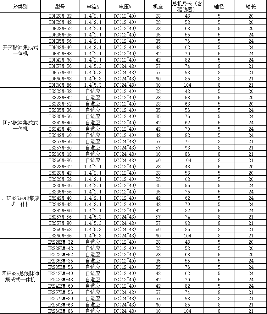
一体化步进伺服电机
【 结构概览与优势 】
一体化步进伺服电机,这一高度集成的伺服“系统”,巧妙地融合了步进电机、编码器以及驱动器。相较于传统的分体式伺服系统,其体积显著缩减,线缆连接更为简洁,使得整个伺服系统更加紧凑,便于快速安装于各类设备之中,特别是对于内部空间有限的设备而言。此外,电机内部嵌入的编码器能够实时追踪电机的旋转角度,从而确保精准达到并维持预设位置。
【 全面的运动控制解决方案 】
一体化电机不仅具备上述显著优势,还提供了全面的运动控制解决方案。无论是步进电机、驱动器、编码器,还是减速机,这款产品都能一站式解决,无需繁琐的组装和调试。这使得在各种应用场景下,都能轻松实现高效、精准的运动控制。

【 产品定制服务与详情 】
为了满足您的独特需求,我们提供灵活的产品定制服务。您可以依据个人或企业的实际应用场景,定制出最适合您的解决方案,确保您获得卓越的使用体验。
为了更好地满足您的个性化需求,我们提供了全面的产品定制服务。您可以根据实际工作需要,灵活选择增加高级I/O模块,从而增强产品的输入输出能力,使其更胜任复杂的工作环境。同时,我们支持对外形结构进行多样化调整,包括尺寸、形状和颜色等,让您能够根据个人偏好和实际需求进行定制,使产品更加贴合您的使用习惯和审美标准。此外,针对各种通信场景,我们的定制服务还涵盖了232通信模块的增设,以确保您的产品能够与其他设备进行高效、稳定的通信,保障数据传输的顺畅和系统的稳健运行。